Posted on behalf of Michael Courtney, Dublin City University
This blog outlines the main arguments from a recent article published in Irish Political Studies by the author. The article is available free to download until the end of August at http://www.tandfonline.com/doi/pdf/10.1080/07907184.2015.1021796
There is considerable contemporary interest in maximising the efficacy of Irish democracy. This has manifested itself in proposals incentivising parties to run more female candidates at general elections and a constitutional convention which included, as far as practicable, people from wider range of socio-demographic backgrounds than would otherwise be found in the Dáil and Seanad.
These experiments in demographic participation are rooted in the centuries-old question of whether a political representative needs to be of a group to represent a group. For example, Alexander Hamilton, a founding father of the United States, felt that the social elite could more than adequately represent the political needs of all classes of men. But psychological theory, developed throughout the 20th century, has found that there is a causal chain which extends, in the context of each individual’s life, from their social background through their attitudes to their behaviour. Whether the social contexts of individual’s lives are consistently shaped by broad socio-demographic characteristics as to be detectable at the aggregate level is an open question. It might be the case that each individual’s life and circumstances is so unique that no demographic effect on attitudes would emerge from a scientific study. Moreover, attitudes towards policy goals shift depending on whether those goals are aspirational or specific, moderate or radical, and distant or imminent. (This is why we see opinion polls move considerably in referenda campaigns as polling day gets closer. Voters’ minds shift from focusing on aspirational feelings to cognitive evaluations. A change in attitude direction can lie between the two.)
Irish democracy, of course, is characterised by a level of broad gender, age and class participation in national politics which is on the lower end of the scale in the European context. Thus, pro-active measures to enhance political participation of social groups is worth considering. In order to investigate the question of whether such action would lead to any substantive outcome, this author undertook a study of the attitudes of national-level representatives (TDs and Senators) across all parties and none. The challenge was to determine whether the admittedly low level of variation in social background among representatives is associated with variation in attitudes within the parties. From there it can then be assessed to what extent further increases in participation would lead to greater variation in political views and policies being proposed in the Oireachtas.
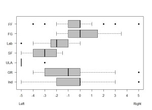
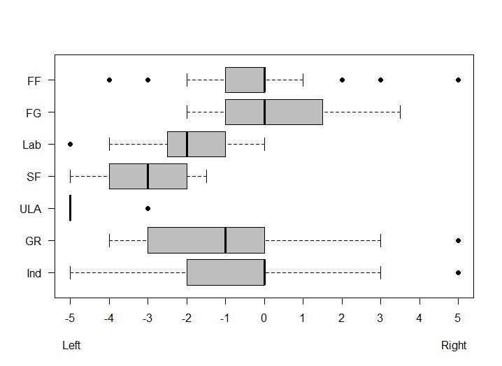
The major finding of the study is that significant attitude variation exists within the current elected membership of the political parties (Figure above illustrates this variation on the left-right scale in general), and with some obvious exceptions, women tend to be more economically and socially left-wing than men. For, example, and with respect to the psychological theory outlined above, consider the questions put to participants on same-sex marriage. Women’s social liberalism manifested itself in a positive attitude towards legislating for same-sex marriage and, without reluctance, an equally positive attitude to gay people adopting children “from third parties”. Male respondents were much more likely to differentiate by being broadly supportive of marriage but less so adoption. Greater participation of women in national politics would certainly increase the diversity of views expressed in politics, as it would be the case with more young people and individual’s from a manual labour occupational background.

Not wishing to detract from the interesting analysis presented here, but I think this:
http://www.irishtimes.com/opinion/noel-whelan-something-all-the-political-parties-could-agree-on-1.2295082
might be worth some consideration, since it acknowledges the efforts of some people here to encourage the parties to take political reform more seriously – even if it turned out to be arm-waving in their manifestos and lacked sufficient subsequent substance.
On a definitely off-topic subject, I only recently became aware of the rather horrific case of Cork nurse Eanna O Cochláin who is trapped in the Philippines facing a 12 year prison sentence on likely trumped up charges of possessing 0.38g of cannabis (probably appeared an easy target from which to extract bribes in a notoriously corrupt criminal justice system). It seems his main problem was a naive but honourable refusal to pay such bribes, which is what landed him in such hot water. His family (Filipino wife Jho and 22-year old daughter Caoimhe) have a website here: http://bringeannahome.com with a petition that people can sign. I’ve started a thread over on politics.ie with some more details: http://www.politics.ie/forum/justice/240148-cork-man-eanna-o-cochlain-framed-philippines-facing-12-year-prison-sentence.html . He has been caught in limbo there alone for two years now. Must admit that this totally flew below my radar up to now (seems it has been receiving some media attention but far less than some other cases like the Halawa one). Other than receiving some consular assistance, I’m not sure if he has received any other practical assistance from our government so far. Don’t know the man or family personally but his story unfortunately seems very plausible. Hopefully people can spread the word and put pressure on their TDs (particularly Minister for Foreign Affairs, Charlie Flanagan).