by Kevin Cunningham Trinity College Dublin
Why a new approach?
STV is very exciting. With so many independent candidates, it is quite likely that transfers will have an even greater effect in this election than in previous years. Our system has so many intricacies that it is quite difficult to convert estimated vote share (from polling data) into seat distributions, making predictions incredibly difficult.
Current methods allocate seats to the candidates to whom we estimate will receive the highest percent vote share. However, this has one major drawback. For example, if the Green Party have a 30% chance of winning a seat in five different constituencies (about half a quota in each) the current technique will not allocate them a single seat. However, their expected value would tell us that they are likely to win at least one seat. In this way, current methods tend to lend too much support to the favorite, but using probability theory we may be able to improve the ability to translate first preference estimates into seats.
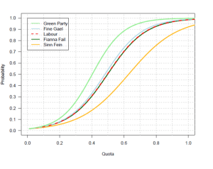
Using data from between 1987 and 2007, Figure 1 shows the relationship between first preference votes and the proportion of candidates winning a seat. Here, ten percent of candidates with only half a quota win seats.
Figure 1. Decimalised aggregation of single candidates from the last five general elections
Working with Prof. Michael Marsh, I have developed a model using Bayesian Proportional Odds Logistic Regression (bayespolr). Using this on data from the previous 6 elections, we can calculate the relative odds of each party winning 0, 1, 2, 3 or 4 seats in each constituency given an expected quota, the number of candidates they are running, the number of other candidates and the number of seats.
Transfer Toxicity
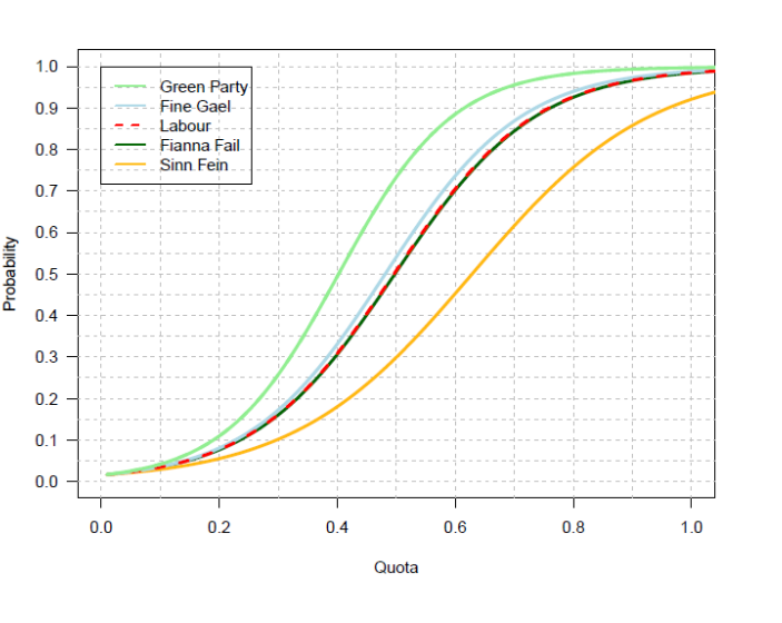
There are significant differences between parties in terms of their ability to convert first preference votes into seats. This, it is argues is a reflection of how favourable that party is to transfers from other parties. Figure 2 shows the relationship as generated by the model. The example given relates to a single candidate in a typical 4 seat constituency where there are 17 other candidates running.
As we can see, Sinn Fein have difficulties in converting first preferences into seats due to the party being transfer-toxic (admittedly the logistic function is not perfect as evidenced here). At the other end of the spectrum, the Green party have been exceptionally good at converting seats from first preference votes. This is probably because they attract transfers from both partisans of the bigger parties and supporters of independent candidates who get knocked out in early rounds.
Figure 2: The probability of getting a seat, given the proportion of the quota achieved by the candidate in first preference votes. In this example, for each party, a single candidate of a typical four-seater constituency with 17 other candidates running.
Whereas Figure 2 is a representation of each party fielding a single candidate, there are a number of other factors that can affect these curves. Firstly, holding all else constant, increasing the number of other candidates fielded by the party shifts the curve to the right. This is because candidates of a party must share first preferences votes and cannot expect to transfer perfectly between one another.
Secondly, where there are fewer seats up for grabs in the constituency, the curve shifts towards the right. This represents an increase in importance of transfers when becoming elected on the first count is more difficult, all else equal.
Finally, where there are more candidates in the field overall, independents included, the curves shift towards the left as each candidate is proportionately further from achieving a quota on the first count, preferences increase in importance. So as you watch the election, keep an eye on the exciting constituencies with loads of candidates.
Results
The model generates probabilities of the each party getting 0, 1, 2, 3 or 4 seats in each constituency. These probabilities are quite interesting and I have posted them at kevcunningham.com. By calculating a weighted sum of all probabilities, we come to a prediction for the election.
Tested against the last three elections the model was incredibly accurate, coming within two seats for every party grouping. Given no changes to the system and assuming accuracy in the most recent poll of polls, the outcome would be: FF (25+1), FG (76), LAB (30), SF (12), G (1), I (21).
However, and not to give excuses, but this election really is like no other. Recent polls of second preferences tell us that Fianna Fail and possibly the Greens are now transfer toxic. Labour have also become a transfer-attractive. So after the parameters relating to party toxicity have been modified manually (see below) and not so intelligently – the mathematical model spits out:
FF (20+1) FG (75) LAB (37) SF (12) G (1) I (20).
I could certainly be wrong about the adjustment made to the parameters(as detailed below), but I think this model provides a step in the direction of analyzing toxicity and its effect in PR-STV in Ireland. I was also able to calculate a confidence interval for each party and most interestingly one for the probability of a single party government of Fine Gael as given in Figure 3.
Figure 3: Probability of a Single Party Government based on the model
Appendix
For interested parties, the original model looks like this (all variables statistically significant at the 95% level):
Quota (6.6360)
Seats (-0.3866)
Total_Cands_Running (0.1792)
Quota:PartyFF (1.7438)
Quota:PartyFG (2.0296)
Quota:PartyG (3.7296)
Quota:PartyI (-1.4055)
Quota:PartyL (1.7740)
PartyCandidates:is_party (-1.2739)
Intercepts: 0|1 (4.3943); 1|2 (11.3805); 2|3 (18.3845)
Adjustments made were:
Quota:FF (0.7)
Quota:L (3.0)
Quota:G (0.7)



Great to see some serious statistics replace the finger in the air stuff even if you end up having to make some somewhat arbitary adjustment to party transfer toxicity levels. Do we not have sufficient data from local polls (and national polls asking second preference questions) to make a more scientific estimate of inter and intra party transfer levels? That question is as capable of empirical examination as any other.
Where your model perhaps falls down is with the huge number of independents this year. God only knows how they will transfer between each other – unless there is sufficient data in local ballot paper based opinion polls – to provide data that is generalisable to all constituencies. But again the problem is that the complexition of the slew of independents is very different from constituency to another.
Another predictor of transfer levels could be geographical proximity – e.g. Carlow candidates transfering to other Carlow candidates.
Local polls have provedvto be unreliable in the past, and transfer data in polls, while suggestive, are far from reliable too. However the latter dp point the the likelihood of FG and labour doing well in the transfer Market and FF doing unusually poorly.
Many thanks for highlighting this research. I expect the analysis and the results will strike a chord with many seasoned election-watchers. It is interesting that adjusting for the toxicity factor damages FF and benefits Labour while leaving everyone else largely unchanged, but this is a net effect. We don’t have very long to wait to see how accurate these are.
I’m sure are intrigued as to who the lonely Green might be! 🙂
Nice idea, looks like this could be a useful statistical prediction technique. But is probably not an easy time to test your method! Quite a challenging environment for any prediction method, big changes in voting patterns, big swings in transfer toxicity and a large independent share going all over the place.
Now that the result is in – and for such a landscape-changing general election – many congratulations are in order for the accuracy of your projection.
Thanks! Very close: +1, -1, 0, -2, +1, +1
I must admit the last plot there uses an inflated standard error – twice as large as it really is.
Pingback: Sinn Fein: Still ‘Toxic’ After All of These Years? | Thoughts from the Fifth Province